Si recordamos la teoría, esta nos indica que cualquier variación en el diámetro del impulsor o en la velocidad de giro del equipo, afectará directamente la demanda de potencia, esto nos dice al final de cuentas que si uno de estos valores se varía, debemos de contemplar los cambios de diseño y ajustarnos a las nuevos parámetros.
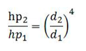
En muchas ocasiones el impulsor debe ser recortado (reducir el diámetro ligeramente), pero ¿por qué se debe hacer?, sencillamente porque se deben respetar las leyes de afinidad, para entender estas variantes veamos la siguiente relación:
Donde:
d2= diámetro del impulsor a usar
d1= diámetro del impulsor original
hp2= potencia del equipo a usar
hp1=potencia del equipo original

Es muy común que los fabricantes diseñen diferentes potencias para un modelo de equipo en específico, es aquí donde el impulsor cambia de diámetro y la relación anterior dará resultados razonables cuando sea necesario mecanizar a un diámetro más pequeño, partiendo del hecho que el impulsor es del mismo equipo solo que diferente potencia.
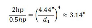
Ejemplo: Recientemente colocamos una bomba sumergible de 0.5 hp que opera a 3550 rpm, el impulsor se empieza a dañar por la acidez del agua donde se encuentra instalada.
Datos importantes: El primer efecto que vamos a notar para concluir que el impulsor se ha dañado o ha perdido diámetro es la falta de caudal en comparación cuando se instaló, por otro lado el esfuerzo eléctrico es menor por ende la corriente de operación tenderá a disminuir, estando seguros de que este elemento está dañado se compra el impulsor, pero ¿cómo determinamos el diámetro correcto para nuestro equipo?, si sabemos que el impulsor (mismo diseño) comprado es para una bomba con las mismas características pero de 2 hp, resolvamos:
Datos:
d2=4.44″
hp1=0.5hp
hp2=2hp

Esto nos indica que para un equipo de 0.5hp, el diámetro del impulsor deberá ser de 3.14” aproximadamente (este valores experimental), sin embargo se ajustara bastante al dato de diseño.
Cuando se necesite realizar una modificación de este tipo, se deberán agotar todas las fuentes de información: fabrica-distribuidor, puesto que el fabricante diseña y con base en esto se generan curvas de funcionamiento especificas, lo cual implica que cualquier variación afectara el desempeño.
Fuente: Ing. Allan Fonseca Vargas (Departamento de Ingeniería RENAME)
[…] Entendiendo los ejes y causas de fallo #1 Entendiendo los ejes y causas de fallo #2 […]