Contrariamente a la opinión popular, más grande no siempre es mejor. Hay una tendencia natural a querer un poco de potencia extra, “por si acaso:” a continuación se mostrará un procedimiento simple para la determinación de los caballos de fuerza reales requeridos por la carga, sin necesidad de equipos costosos.
En la gráfica #1 se ilustra como el porcentaje de carga y la corriente son esencialmente lineales y nos darán una guía para una selección adecuada.

Con datos veraces, la carga real de un motor puede ser aproximada por la siguiente fórmula:
![]()
Dónde:
Hp actuales = La potencia del motor con que se está haciendo la prueba (Hp).
Fla = Corriente de placa a plena carga.
Ar = Corriente en plena operación al 100% de la carga (Amperios).
Av = Corriente con el motor sin carga y desacoplado (Amperios).
Notas:
- Para evitar errores, se debe utilizar la corriente del motor no acoplado.
- Si el proceso consta de cargas diferentes, registre la corriente con la carga máxima.
Los costos ocultos de los motores de gran tamaño
La corriente de arranque se basa en el momento de partida, no es dependiente de la carga. La corriente de arranque para un motor dado es la misma independientemente de la carga real. Eso significa que un motor de 100HP que arranque desacoplado tendrá la misma corriente que si lo tengo al 100% de carga.
Dado que la corriente de arranque es aproximadamente 6 veces (dependiendo de la letra de código NEMA) la corriente de la placa. La corriente de entrada real (también conocida como Intensidad con rotor bloqueado o LRA) se puede determinar a partir de la placa de identificación del motor. NEMA prescribe una letra de código (CL) se utiliza para indicar la LRA de un motor.

Letra de código de rotor bloqueado (CL)
Para calcular la corriente de rotor bloqueado se puede utilizar la siguiente fórmula:

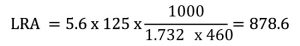
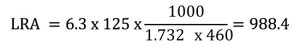
Ejemplo:
Para un motor de 125 Hp con el código de una letra G (5.6 a 6.3), el LRA se sitúan entre 878 y 988 amperios.
![]()
![]()
Ejemplo de la vida real.
Un motor de 125 Hp conducía un ventilador para proporcionar el aire de una planta. La corriente de la placa de identificador es de 148 A, desacoplado consumió 44A, un poco menos de 1/3 de la FLA. Cuando se somete a su carga normal consume 63A. Ahora usaremos la fórmula para determinar la potencia real requerida.
![]()
![]()
Ahora sabemos que la potencia real requerida será de 23Hp, haciendo el cálculo para un equipo de 25Hp obtenemos un LRA de 198A (en la misma letra del código G), y pasamos de 63A a sólo 35A (consumo aproximado de un motor de 25Hp a 100% carga), la diferencia es espectacular, el desgaste de los arrancadores de motor, los costos de reposición de los contactos, etc. Elevan innecesariamente los costos de mantenimiento de manera considerable, la planta estaba pagando por una gran cantidad de electricidad desperdiciada.
Se debe tener presente que el factor de servicio es un % adicional que un motor puede manejar por encima del caballaje escrito en su placa.
Un equipo mal dimensionado podría impactar la parte económica de la empresa, es necesario contemplar estas variables a la hora de invertir en la compra o reemplazo de algún motor eléctrico.
Electrical Apparatus Service Association. (EASA.)
Departamento de Ingeniería Rename. Departamento de Ingeniería Rename.
